-
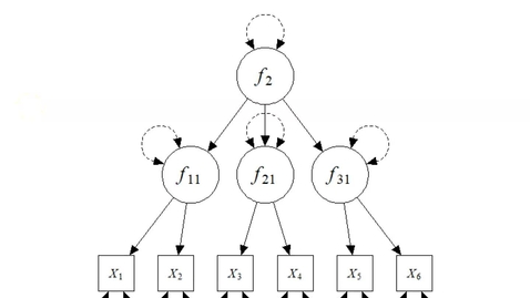
Discussion of identifiability and estimation of second-order CFA models with an application using lavaan.
second order cfa
-
Introduction to Reilly's (1995) rank rule for evaluating the identifiability of factor-complexity-one CFA models with non-diagonal error covariance matrices. The…
cfa-Reilly
-
An overview of Conti et al. (2014) for our discussion of the proof of Theorem 1.
cfa-Conti
-
Introduction to confirmatory factor analysis with discussion of identifiability, model fit, and estimation and interpretation using the lavaan R package.
cfa1
-
An introduction to finite, first-order hidden Markov models.
hmms1
-
An introduction to restricted latent class models and an associated collapsed Gibbs sampler.
rlcms1
-
We discuss Dirichlet processes as a mechanism for inferring the number of latent classes. An R application is provided.
mixtures4
-
An in-depth review of the collapsed Gibbs sampler for finite mixture models.
mixtures3
-
Bayesian inference for mixture models is reviewed with focus on priors for latent classes and structural parameters.
mixtures2
-
Introduction to finite mixture models with examples in regression, density estimation, and clustering. Identifiability theory is reviewed and R examples are discussed.
mixtures1
-
Reviewing the Bayesian approach to polytomous EFA via the cumulative link probit. The discussion concludes with an application using the R bayesefa package.
bayes_efa_ordinal
-
Introduces limited information methods for polytomous EFA using polychoric correlations. An application is presented using R.
ordinal_efa2
-
Introduction to EFA for multivariate polytomous response data. The video introduces the cumulative link probit formulation and presents an application using the R mirt…
ordinal_efa1
-
An application of the Bayesian EFA mode-jumping approach using the bayesefa R package.
bayesefa3
-
Discussing priors for loadings with emphasis on the positive lower triangular restriction to deal with rotational indeterminacy and the recent mode-jumping algorithm.…
bayesefa2
-
Introduction to Bayesian inference for EFA with a focus on prior and full conditional distributions for latent intercepts, uniquenesses, and factors.
bayesefa1
-
An application of EFA using R with the Amsterdam chess response time dataset.
efa4
-
The EFA likelihood function, tests of model fit and selection, factor rotations, and factor scores.
efa3
-
-
Search for ""